Etc/Deep Learning 29

7장 시계열 분석(4) - 게이트 순환 신경망(GRU)

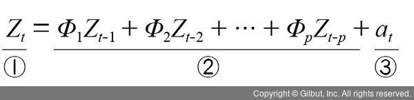
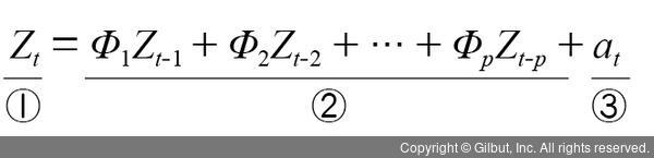
7.6 게이트 순환 신경망(GRU) GRU란? - 게이트 매커니즘이 적용된 RNN 프레임워크의 한 종류 - LSTM보다 간단한 구조 7.6.1 GRU 구조 GRU 구조 = LSTM에서 사용하는 망각 게이트와 입력 게이트를 하나로 합침 + 업데이트 게이트 특징 · 하나의 게이트 컨트롤러가 망각 게이트와 입력 게이트를 모두 제어함 - 게이트 컨트롤러가 1을 출력 → 망각 게이트 open, 입력 게이트 close - 게이트 컨트롤러가 0을 출력 → 망각 게이트 close, 입력 게이트 open ⇒ 이전 기억이 저장될 때마다, 단계별 입력은 삭제됨 //망각 게이트 open = 직전 기억을 메모리에 저장 //입력 게이트 open = 현재 메모리에 새로운 정보를 반영함 · 출력 게이트가 없음 → 전체 상태 벡터가 ..

Etc/Deep Learning 2021.08.25

7장 시계열 분석(3) - LSTM

7.5 LSTM RNN의 단점 : 기울기 소멸 문제(가중치 업데이트 과정에서 1보다 작은 값이 계속 곱해짐 → 기울기가 사라짐) - 해결 : LSTM, GRU 같은 확장된 RNN 방식 사용 7.5.1 LSTM 구조 1. LSTM 순전파 LSTM의 '기울기 소멸 문제' 해결 방법 은닉층의 각 뉴런에 망각 게이트, 입력 게이트, 출력 게이트 추가 A. 망각 게이트 망각 게이트란? 과거 정보를 어느 정도 기억할지 결정함 방법 : ① 과거 정보와 현재 데이터를 입력받음 ② ①에 시그모이드를 취함 ③ ②값 × 과거 정보 ⇒ 시그모이드의 출력이 0이면 과거 정보를 버림(초기화) 1이면 과거 정보를 보존(메모리에 유지) = 입력 값을 이용해서 이전 상태 정보를 현재 메모리에 반영할지 결정 B. 입력 게이트 입력 게이..

Etc/Deep Learning 2021.08.25

7장 시계열 분석(2) - RNN 구조(계층, 셀) + RNN 셀 구현

7.4 RNN 구조 RNN이란? 은닉층 노드들이 연결되어 이전 단계 정보를 은닉층 노드에 저장할 수 있도록 구성한 신경망 RNN 구조 xt-1에서 ht-1을 얻고 다음 단계에서 ht-1과 xt를 사용 ⇒과거 정보, 현재 정보를 모두 반영 RNN의 입력층, 은닉층, 출력층 + 3개의 가중치(Wxh, Whh, Why) - 위 그림 참고 ①Wxh : 입력층에서 → 은닉층으로 전달되는 가중치 ② Whh : t 시점의 은닉층에서 → t+1 시점의 은닉층으로 전달되는 가중치 ③ Why : 은닉층에서 → 출력층으로 전달되는 가중치 ※ 3개의 가중치는 모든 시점에서 동일함(= 같은 값의 가중치를 공유) t단계에서의 RNN 계산 1. 은닉층 - 계산을 위해 xt, ht-1이 필요 //xt :입력값, ht-1 : 이전 은..

Etc/Deep Learning 2021.08.21

7장 시계열 분석(1) - 시계열 데이터 분류, 시계열 분석 모델, 순환 신경망(RNN), RNN계층과 셀

7.1 시계열 문제 시계열 분석이란? 특정 대상의 시간에 따라 변하는 데이터를 사용하여 추이를 분석하는 것 → 추세 파악 · 향후 전망 예측용 예) 주가/환율 변동, 기온/습도 변화 시계열 형태 데이터 분류 시계열 형태 데이터 설명 불규칙 변동 시간에 따른 규칙적인 움직임과 달리, 어떤 규칙성이 없어 예측 불가능 & 우연적으로 발생하는 변동 예) 전쟁, 홍수, 화재, 지진, 파업 추세 변동 시계열 자료가 갖는 장기적인 변화 추세 추세 : 장기간에 걸쳐, 지속적으로 증가·감소하거나, 일정한 상태를 유지하려는 성향 → 짧은 기간 동안엔 추세 변동을 찾기 어려움 예) 국내총생산(GDP), 인구증가율 순환 변동 2~3년 정도의 일정한 기간을 주기로, 순환적으로 나타나는 변동 1년 이내 주기로 곡선을 그리며 추세..

Etc/Deep Learning 2021.08.21

6장 합성곱 신경망Ⅱ(5) - 이미지 분할을 위한 신경망(U-Net부터 내용추가하기)

6.3 이미지 분할을 위한 신경망 이미지 분할이란? 신경망을 훈련시켜 이미지를 픽셀 단위로 분할하는 것(이후 이미지에 포함된 객체를 추출) 이미지 분할의 대표적 네트워크 완전 합성곱 네트워크, 합성곱 & 역합성곱 네트워크, U-Net, PSPNet, DeepLabv3/DeepLabv3+ 6.3.1 완전 합성곱 네트워크 완전연결층의 한계 고정된 크기의 입력만 받아들임 완전연결층을 거친 후에는 위치 정보가 사라짐 ⇒ 해결 : 완전연결층을 1×1 합성곱으로 대체함 = 완전 합성곱 네트워크 완전 합성곱 네트워크란? CNN 기반 모델(이미지 분류에서 우수한 성능, AlexNet, VGG16, GoogLeNet)을 변형 → 이미지 분할에 적합하도록 만든 네트워크 예) AlexNet의 하단에서 사용되었던 완전연결층 ..

Etc/Deep Learning 2021.08.17

6장 합성곱 신경망(4) - 객체 인식을 위한 신경망(R-CNN, 공간 피라미드 풀링, Fast R-CNN, Faster R-CNN)

6.2 객체 인식을 위한 신경망 객체 인식이란? 이미지나 영상 내에 있는 객체를 식별하는 컴퓨터 비전 기술 → 이미지 · 영상 내에 있는 객체가 무엇인지 분류 & 그 객체의 위치가 어디인지 박스로 나타내는 위치 검출 딥러닝을 이용한 객체 인식 알고리즘 : 1단계 객체 인식, 2단계 객체 인식으로 나눌 수 있음 1단계 객체 인식 : 분류와 위치 검출 문제를 동시에 행하는 방법(빠르고 낮은 정확도) - YOLO, SSD 계열 2단계 객체 인식 : 두 문제를 순차적으로 행하는 방법(느리고 높은 정확도) - R-CNN 계열 6.2.1 R-CNN 예전의 객체 인식 알고리즘 - 슬라이딩 윈도우 방식 : 이미지의 객체를 탐색하고자 이미지 왼쪽 상단부터 일정 크기의 경계 상자(윈도우)를 만들고 그 안에서 객체를 탐색하..

Etc/Deep Learning 2021.08.12

6장 합성곱 신경망Ⅱ(3) - 이미지 분류를 위한 신경망(VGGNet, GoogLeNet, ResNet)

6.1.3 VGGNet 등장 배경 : 합성곱층의 파라미터 개수를 줄이고, 훈련 시간 개선을 위해 VGG16 네트워크의 구조적 세부 사항 * 모든 합성곱 커널의 크기 : 3×3 * 모든 최대 풀링 커널 크기 : 2×2 + 스트라이드 : 2 VGGNet16 구조 상세 층 유형 특성 맵 크기 커널 크기 스트라이드 활성화 함수 이미지 1 224×224 – – – 합성곱층 64 224×224 3×3 1 렐루(ReLU) 합성곱층 64 224×224 3×3 1 렐루(ReLU) 최대 풀링층 64 112×112 2×2 2 – 합성곱층 128 112×112 3×3 1 렐루(ReLU) 합성곱층 128 112×112 3×3 1 렐루(ReLU) 최대 풀링층 128 56×56 2×2 2 – 합성곱층 256 56×56 3×3 1 ..

Etc/Deep Learning 2021.08.11

6장 합성곱 신경망Ⅱ(2) - 이미지 분류를 위한 신경망(AlexNet)

복습 - CNN 구조(3차원 구조) * 이미지를 다루므로 기본적으로 3차원 데이터(너비, 높이, 깊이)를 다룸 AlexNet 구성 : 합성곱층 5개 + 완전연결층 3개 //맨 마지막 완전연결층 : 카테고리 1,000개로 분류(소프트맥스 활성화 함수 사용) 특징 : GPU 2개를 기반으로 한 병렬 구조(⇒ 연산 속도가 빨라짐) AlexNet의 합성곱층에서 사용된 활성화 함수 : 렐루 각 계층의 구조적 세부 사항 입력 : 227×227×3 크기의 RGB 이미지 출력 : 각 클래스(혹은 카테고리)에 해당하는 1000×1 확률 벡터 계층 유형 특성 맵 크기 커널 크기 스트라이드 활성화 함수 이미지 1 227×227 – – – 합성곱층 96 55×55 11×11 4 렐루(ReLU) 최대 풀링층 96 27×27 3..

Etc/Deep Learning 2021.08.10

6장 합성곱 신경망Ⅱ(1) - 이미지 분류를 위한 신경망(LeNet-5) + 실습 : 🔜파이썬 개념 추가 정리하기

6.1 이미지 분류를 위한 신경망 입력 데이터로 '이미지'를 사용한 분류 : 특정 대상이 영상 내에 존재하는지 판단 - 이미지 분류에서 주로 사용되는 합성곱 신경망 유형 : LeNet-5, AlexNet, VGGNet, GoogLeNet, ResNet 6.1.1 LeNet-5 합성곱과 풀링(다운 샘플링)을 반복적으로 거치며 마지막 완전연결층에서 분류 수행 C1 : 5×5 합성곱 연산 → 28×28 크기의 특성맵 6개 생성 S2 : 다운샘플링 → 특성 맵 크기를 14×14로 줄임 C3 : 5×5 합성곱 연산 → 10×10 크기의 특성맵 16개 생성 S4: 다운 샘플링 → 특성 맵 크기를 5×5로 줄임 C5 : 5×5 합성곱 연산 → 1×1 크기의 특성맵 120개 생성 F6 : 완전연결층. C5의 결과를 u..

Etc/Deep Learning 2021.08.09

5장 합성곱 신경망Ⅰ(4) - 그래프 합성곱 네트워크

5.5 그래프 합성곱 네트워크 5.5.1 그래프란? 방향성이 있거나 없는 edge로 연결된 node(verticals)의 집합 node, edge : 풀고자 하는 문제에 대한 전문가 지식/직관으로 구성됨 노드(node, vertex) : 그림에서 원, 즉 원소 엣지(edge) : 두 노드를 연결한 선, 즉 결합 방법(single, double, triple, aromatic) 5.5.2 그래프 신경망 그래프 신경망이란? 그래프 구조에서 사용하는 신경망 그래프 데이터 표현 단계 1단계. 인접 행렬 - 그림에서 왼쪽 네트워크를 노드 n개를 n×n 행렬로 표현 - 인접 행렬 내의 값 : ‘Aij는 i와 j의 관련성 여부’를 만족하는 값으로 채움 ∴ 인접 행렬 과정 = 컴퓨터가 이해하기 쉽게 그래프로 표현하는 ..

Etc/Deep Learning 2021.08.09